新文道特别设立了《院校情报数据栏目》旨在为同学搜集院校相关信息,希望助大家一臂之力搞定择校,如果有想了解的院校可以后台留言哦。
地理位置:湖北省武汉市
学校简介
武汉理工大学是首批列入国家“211工程”重点建设的教育部直属全国重点大学,是首批列入国家“双一流计划”建设高校,是教育部和交通运输部、国家国防科技工业局共建高校。办学122年特别是近70年来,学校共培养了60余万名高级专门人才,是教育部直属高校中为建材建工、交通、汽车三大行业培养人才规模最大的学校,已成为我国“三大行业”高层次人才培养和科技创新的重要基地。
学费设置
武汉理工大学
地理位置:湖北省武汉市
学校简介
武汉理工大学是首批列入国家“211工程”重点建设的教育部直属全国重点大学,是首批列入国家“双一流计划”建设高校,是教育部和交通运输部、国家国防科技工业局共建高校。办学122年特别是近70年来,学校共培养了60余万名高级专门人才,是教育部直属高校中为建材建工、交通、汽车三大行业培养人才规模最大的学校,已成为我国“三大行业”高层次人才培养和科技创新的重要基地。
学校自2000年合并组建以来,经过20年的不懈努力和艰苦奋斗,构建了支撑武汉理工大学长远发展的学科体系。我校现有一级学科博士学位授权点19个,一级学科硕士学位授权点45个,有22个硕士专业学位授权类别,39个硕士专业学位授权领域。在国家第四轮学科评估中,材料科学与工程获A+,机械工程、交通运输工程、设计学、马克思主义理论等学科获B+。
学校现有在岗研究生指导教师2000余人,年招收研究生6000余人,在校博士、硕士研究生18000余人。
研究生院网址:http://gd.whut.edu.cn/
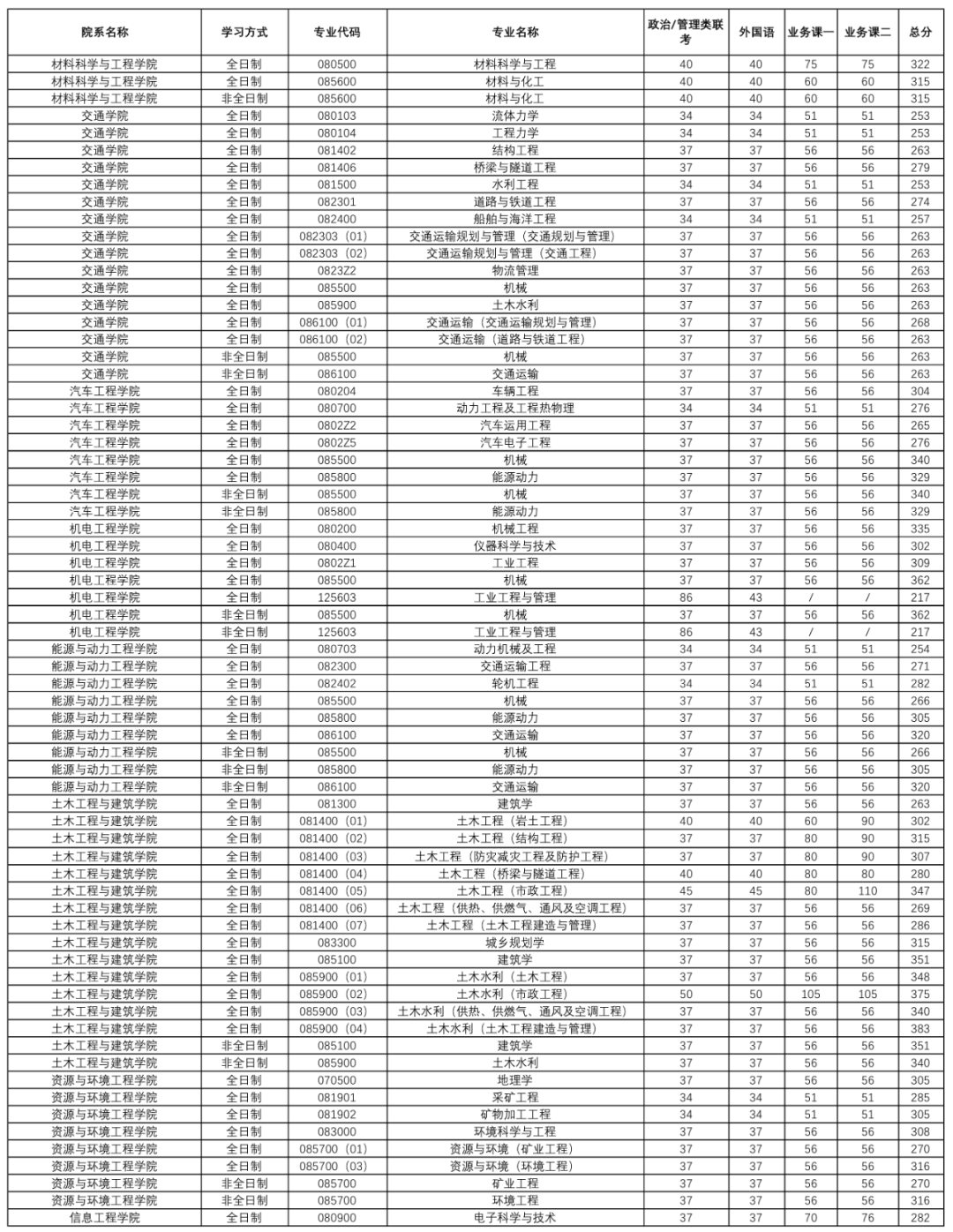
招生专业及复试线




学费设置


本文素材来源于网络,由武汉新文道考研进行整理,想了解更多关于考研相关资讯,敬请关注新文道考研,我们将为同学们奉上全面完整的时下考研相关资讯。







关注武汉新文道微信